核磁溶剂明星分子——二氯甲烷-D2
发布时间: 2021-11-22 浏览次数: 1171
三氯甲烷(CHCl3)又称氯仿,是一种常用的化学试剂,最重要的用途就是作为溶剂,但它又有一个很大的缺点就是容易“见光死”(注:光照下分解成有剧毒的气体——光气)。

作为和氯仿同样的卤代烃,二氯甲烷(CH2Cl2)也是有机实验室常用的有机溶剂之一,它具有良好的溶解性,相对较低的沸点,重要的是有相对较低的毒性。
相信大家在做核磁共振时,首选的溶剂就是氯仿-D,不知道大家有没有试过二氯甲烷-D2。下面就为大家对比一下这两种溶剂。
| 二氯甲烷-D2 | 氯仿-D | |
| 密度(g/L) | 1.362 | 1.500 |
| 沸点(℃) | 40.0 | 60.9 |
| 凝固点(℃) | -97 | -64 |
| 化学位移(ppm) | δ(H):5.32 (t) HOD:1.52 δ(C):53.84 | δ(H):7.26 HOD:1.56 δ(C):77.16 |
首先,二氯甲烷-D2的化学位移值为5.32ppm,这和大多数的化合物都不会产生信号重叠,导致化合物信号被溶剂峰遮挡。

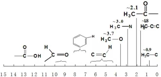
常见官能团化学位移(δ:ppm)
其次,它的沸点和凝固点较低,易于样品回收,同时还可以做许多低温实验,从中捕获反应中间体和不同能态的区别,对于研究反应机理有很大的帮助。
英国布里斯托大学团队发现在二氯甲烷-D2中,脲基C-N键的旋转能垒大约为48.9 KJ/mol, 极性溶剂的加入会使其旋转能垒提高。而对于二聚,三聚以及四聚的脲,由于分子内氢键,C-N键的旋转能垒显著提高。同时在二氯甲烷-D2溶液中可以检测到两种氢键极性的构象存在,其比例为85/15,而在极性的氘代DMSO中,二者的比例变为30/70。
(Chem, Volume 7, Issue 9, 9 September 2021, Pages 2460-2472)
最后昊绿科技可提供氘代试剂各种规格包装,价格优惠,


扫描二维码获取更多精彩
电话:18991251552

